Cool Multiply Matrices Recursive Ideas
Cool Multiply Matrices Recursive Ideas. Since you're recursion comes at the. I want to keep dividing the matrices into 4 parts until i end up with a matrix of 1x1 == base case of 1.

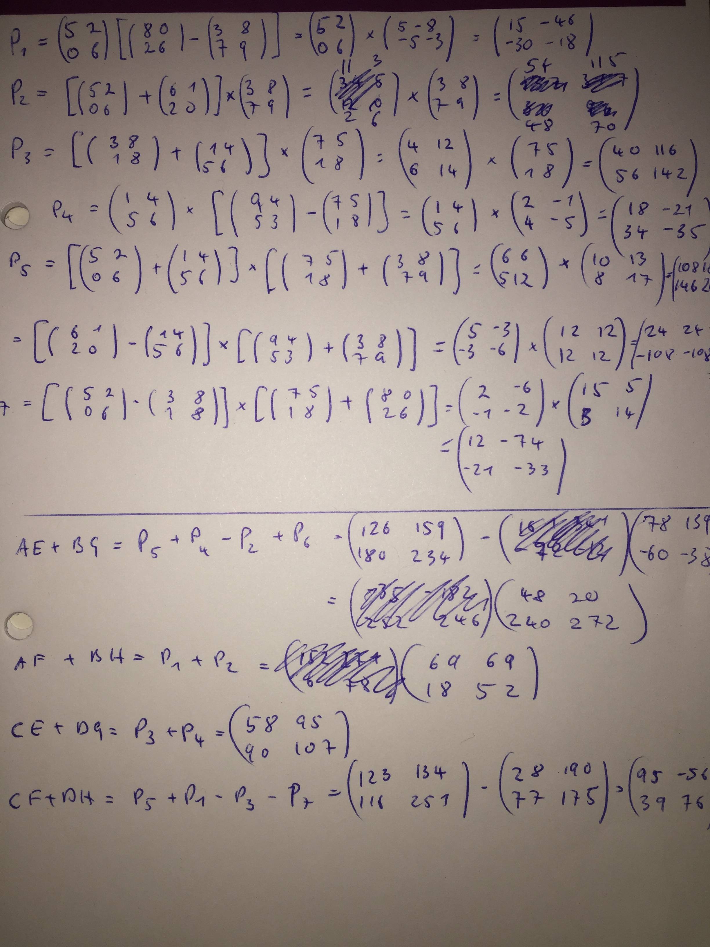
Matrix chain multiplication using recursion given a sequence of matrices, find the most efficient way to multiply these matrices together. You're allocating a new result matrix every time, then almost always throwing it away. Multiplication of two matrices :
I Am Trying To Use Strassens Algorithm To Multiply Two Matrices Recursively.
In recursive matrix multiplication, we implement three loops of iteration through recursive calls. Matrix algebra operations using recursion 3 minute read this post is inspired by a couple of exercises from the classical book, sicp. There is also an example of a.
Multiplication Of Two Matrices :
The bottom number, also a 1, is the current number. Submitted by nidhi, on july 13, 2021 problem. Matrix multiplication is a binary operation and it produces a matrix from two or more matrices.
Two Matrices Of Size M*N And N*P.
The following c program, using recursion, performs matrix multiplication of two matrices and displays the result. Since you're recursion comes at the. Give the c++/java code and time complexity for checking whether two indices i and j exist in a sorted array a of integers such that a[i] + a[j] = x for some value x
The Multiplication Of A Vector By The Recurrence Matrix Gives The Next Vector.
Matrix multiplication recursive in c,c++,java and python. Algorithm for matrix multiplication in javascript; I'm under the impression that as presented recursive_matrix_multiply() (and.
We Use 2 D Array To Represent A Matrix And Resulting Matrix Is Stored In A.
The inner most recursive call of multiplymatrix () is to iterate k (col1 or row2). Here, we are going to learn how to perform matrix multiplication operation using recursion in c programming language? Doing recursion (almost) at the speed of light!