Matrices Ab=ba Ejemplos
Multiplicación de matrices Dadas las matrices 2 5 0 1 6 8. Se dice que una matriz cuadrada A es invertible si existe una matriz B con la propiedad de que.
Multiplicando el segundo renglón por cada una de las columnas de la otra matriz.

Matrices ab=ba ejemplos. Puesto que AB BA I A y B son invertibles siendo cada una la inversa de la otra. Determina AB BA A B-2C A BC en las siguientes matrices en caso de ser posible. A2 AB BA B2 y sólo en aquellos casos en los que se verifique que AB BA se cumplirá que A B2 A2 2AB B2.
Son ejemplos de matrices los siguientes. Como se ha visto en los ejemplos anteriores el orden en que se realiza un producto matricial altera el resultado del mismo. Puesto que AB BA I A y B son invertibles siendo cada una la inversa de la otra MÉTODO DE GAUSS.
Propiedad Distributiva de matrices. Se deflne la matriz Ekl 2 Knm como Ekl ij n 1 si i k. Matrices Problemas Resueltos Operaciones con matrices 1.
Una primera observacion que debemos hacer se reflere a como determinar si dos matrices. A B C AB AC. Dadas 1 7 2 3 A 4 9 5 2 B y 14 41 11 12 C halla dos números a y b para que se verifique que aAbB C.
Siendo I la matriz identidad. 100 Pon un ejemplo para cada caso siendo. La Propiedad Distributiva de matrices establece.
Construir dos matrices simétricas A y B de orden 4 y comprobar que se verifican las siguientes propiedades. Y B son dos matrices cualesquiera. También si A es una matriz m n y B y C son matrices n m entonces.
Gloria Jarne Esperanza Minguillón Trinidad Zabal. Matrices determinantes y sistemas de ecuaciones lineales Autoras. A AB -132 Para que la igualdad fuera cierta tendría que ser AB BA.
If APLambda Ptop BPSigma Ptop with P an orthogonal matrix and Sigma Lambda diagonal matrices then ABBA. SOLUCION a- A B2 A BA B AA AB BA BB si AB BA A2 2AB B2. Método de Gauss.
Escribiendo la ecuación extendida y operando se tiene. B C A BA CA. Denominamos a la matriz B la inversa de A y la denotamos por A-1.
J l 0 si no Estas matrices se llaman las matrices canonicas de Knm. Se dice que en el producto matricial AB la matriz A premultiplica a la matriz B y la matriz B posmultiplica a la matriz A. Digamos que B y C son matrices n r.
Sea A a ij una matriz cuadrada de orden n. Se dice que una matriz cuadrada A es invertible si existe una matriz B con la propiedad de que AB BA I siendo I la matriz identidad. Se llama matriz fila a la que sólo tiene una fila es decir su dimensión es 1xn.
Si las matrices A y B son tales que ABBA entonces se dice que conmutan o que son permutables. Multiplicando el primer renglón por cada una de las columnas de la otra matriz. AB BA I.
1 AB es simétrica 2 a A es simétrica para cualquier 3 Si la matriz A tiene inversa entonces A-1 es simétrica. Denominamos a la matriz B la inversa de A y la denotamos por A-1. A Existe una matriz B tal que B sea una matriz de una sola fila.
Dear Teachers Students and Parents We are presenting here a New Concept of Education Easy way of self-Study. A 3 4 1 2 B 6 2 3 2 Cuando dos matrices verifican que AB BA se dicen conmutativas. 6 6 Se llama matriz nula a la que tiene todos los elementos cero Por ejemplo.
7 TIPOS DE MATRICES 7. Puesto que AB BA I A y B son invertibles siendo cada una la inversa de la otra. 4 En general AB y BA no han de ser simétricas.
Denominamos a la matriz B la inversa de A y la denotamos por A-1. AB C AB AC. This is an Audio-Visual e- Guide.
C En el apartado b se han calculado A2 y B2 por tanto. Realiza la multiplicación de. Demuestre entonces a partir de la definición de multiplicación de matrices.
About Press Copyright Contact us Creators Advertise Developers Terms Privacy Policy Safety How YouTube works Test new features Press Copyright Contact us Creators. El producto de matrices no siempre es conmutativo. Sean nm 2 N y sean 1 k n 1 l m.
MATRICES INVERTIBLES Se dice que una matriz cuadrada A es invertible si existe una matriz B con la propiedad de que AB BA I siendo I la matriz identidad. Si verifican que AB BA se dicen anticonmutativas G320. Matrices Sistemas de ecuaciones y determinantes 11 Álgebra de matrices Ejemplo 3.
Denominamos a la matriz B la inversa de A y la denotamos por A-1. AB BA I. B- A BA - B AA - AB BA - BB si AB BA A2 - B2 A - BA B AA AB - BA - BB si AB BA A2 - B2.
Calcula ABy BApara las siguientes matrices. The examples in the list above are in fact valid even when the matrices are not diagonalizable. A 210 1.
Puesto que AB BA I A y B son invertibles siendo cada una la inversa de la otra. Siendo I la matriz identidad. Matrices cuadradas que no pueden ser invertibles La matrix cuadrada 0 es una de ellas este tipo de matrices se llama matriz singular o matriz no invertible.
Sea A una matriz de dimensión 2 X 3. Motivaci on del algoritmo de inversi on Veamos un ejemplo que motivar a el algoritmo para obtener la inversa de una matriz. Y en general no es cierto para dos matrices cualesquiera.
Ejemplo 92 Determine la inversa de A 1 2 3 5. When the two matrices are simultaneously diagonalizable then the matrices commute. Digamos que A es una matriz m n.
De hecho en general AB6 BA Ejemplo. EJEMPLO 1118 Dadas las matrices A B C D suponga que todas las operaciones están definidas.

Hoja De Ejercicios De Matrices

Como Multiplicar Matrices Producto De Matrices Ejercicios Resueltos Paso A Paso Youtube
Ab Ba I Ejemplo Matrices Invertibles

Ejercicios Resueltos De Selectividad De Matrices

Ejercicios Resueltos De Matrices Matrices Conmutable Idempotente

Propiedad Distributiva De Matrices

Subtraction Of Matrices Of Any Order And Examples Fhybea

Ab Ba Distinta De La Identidad Youtube

Prove That Ab T B T X A T But Not A T X B T Linear Algebra 2 7 2 Youtube

Matrices Determinantes Y Sistemas Lineales Universidad De Murcia

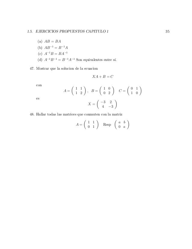
Matrices Que Conmutan Con Una Dada Matematicas Ies

Traza Del Producto De Matrices By Jose Angel

Ejercicios Resueltos De Operaciones Con Matrices Suma Diferencia Productos

Matrices Conmutable Idempotente Nilpotente Involutiva Elemental Y

Ejercicios Resueltos De Selectividad De Matrices

Propiedad Distributiva De Matrices

